PATA History Pages

Annexaton rhetoric or reality -page 3-

Picture

-page 3-

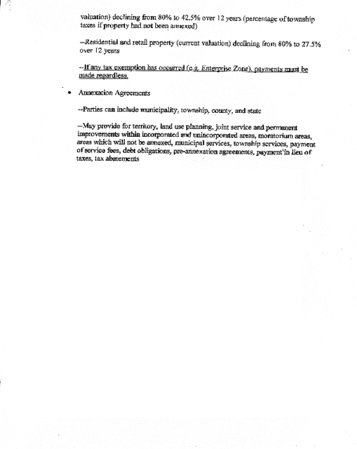
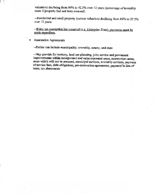
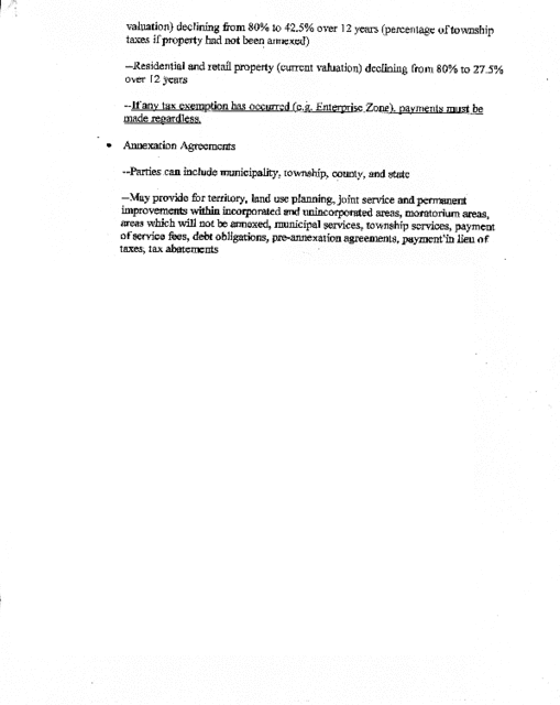
The third page of Senate Bill # 5 and how annexations will be altered.

Sponsored Links
Advertise Here!

Promote Your Business or Product for $10/mo

istockphoto_2518034-hot-pizza.jpg

For just $10/mo you can promote your business or product directly to nearby residents. Buy 12 months and save 50%!

Buynow

Zip Code Profiler

43147 Zip Code Details

Neighborhoods, Home Values, Schools, City & State Data, Sex Offender Lists, more.